L'Architecture d'Ambérieu en Bugey à l'échelle terrestre à travers les châteaux.
Le 26 décembre 2025
Dans cette partie, nous allons voir que nous pouvons mettre l'architecture du château des Allymes et la cartographie sous forme d'une seule équation.
La configuration surprenante en cartographie et architecture a déjà été vue. Mais rappelons en guise d'introduction que les 4 châteaux majeurs sur Ambérieu (Luisandre, Allymes, Saint-Germain et Saint-Denis) sont liés par des principes cartographique sur leurs altitudes et sur leurs distances respectives formant une boucle fermée.
Il se trouve que les 2 premiers chiffres significatifs de la distance inter-châteaux correspond aux 2 premiers chiffres significatifs de l'altitude.
Par exemple, la distance Saint-Germain à Saint-Denis, c'est 3345m pour arriver à une altitude de 332 m. Ce qui signifie que les 2 premiers chiffres significatifs (3 et 3) se retrouvent en distance et en altitude. De plus, si on part de Saint-Denis, on en fait une boucle orientée fermée (sens dess aiguilles d'une montre en vue de dessus). Et ceci montre avec certitude une cartographie.
Remarque: les distances et altitudes sont prises au centre des tours;
Mais ce n'est pas tout. On pourrait se demander pourquoi ce n'est pas plus précis. Mais en fait ça l'est si l'on zoome sur les 2 châteaux dont on a le plus d'informations géométriques, et qui se tiennent debout: la tour de Saint-Denis et le château des Allymes.
Et voilà ce que l'on a découvert:


Il se trouve que la levée topographique Tour de Saint-Denis à la tour ronde du château des Allymes nous donne:
6542m de distance;
65°42' d'azimut Nord;
654/2 m d'élévation.
Nous sommes donc précis, sur 4 chiffres significatifs, sur une levée topographique de géomètre au XIVe siècle, dans des différentes ET dans des unités différentes.
Mais si le château des Allymes est positionné par rapport à la tour de Saint-Denis en cartographie locale, se pourraient-ils que le lieu même d'Ambérieu soit positionné en absolu?
Beaucoup de pays européens ont une cartographie plane issue du GPS (WGS84) prenant appui sur le Mercator transverse. Dans ce système, la distance du lieu cible à l'équateur est quasiment la même entre la distance sur la pseudosphère terrestre ou sur le plan en Mercator transverse.
Seule la France n'a pas ce système, la France fonctionne sur la projection conique conforme de Lambert qui repose aussi sur WGS84 (nos cartes IGN ou Michelin sont faites à partir de ce type de projection) . Dans ce système, la distance du lieu cible à l'équateur n'est pas la même entre la distance sur la pseudosphère terrestre ou sur le plan en Mercator transverse.
Or Ambérieu est à la distance de 6542,6km NORD en projection conique conforme de Lambert .
1. Latitude et longitude inscrites dans le château des Allymes
Il se trouve que la longue introduction précédente trouve une application pratique au sein même du château des Allymes, dans son architecture. Au chapitre métrologie, nous avons déjà exposé un essai d'implantation des points majeurs du château.
Nous avons pu mettre en évidence, l'importance de l'entrée du château des Allymes (point J). En effet le point J est un point de référence d'où l'on peut viser pour placer des points ou bien construire des structures:
La muraille légère au Nord-Ouest partant de B est exactement dirigée par l'axe BJ. Et ce, d'autant plus que la muraille légère ne va pas jusqu'à J;
Du point B la muraille légère au nord part plein Est, avant de s'infléchir pour se diriger dans l'angle de la tour ronde. Si l'on trace l'axe Est ouest passant par B, on coupe la muraille à l'EST en M. Or, BM=50m exactement. Et si l'on prend la moitié, on a le point K. Il se trouve que partant de K et allant vers J, on oriente la tour carrée;
Autre particularité révélant l'importance de J: JLM alignés, avec JC= 5.JL


Et justement, partant de J et allant à C, centre de la petite tour ronde nord, on ouvre un angle de 24,42° qui est significatif de la diagonale d'un plan modulaire carré de 5×11 orienté Nord-Sud.
Ce plan modulaire carré fait 119m sur le grand côté et 54,09m sur le petit côté.
Ce que l'on a découvert, c'est qu'en projection plane conique conforme de Lambert, nous sommes à 6544,4km Nord. Or, 6545=119×5×11.
Donc 119 est la latitude inscrite dans le 5×11.
Se pourrait-il que l'autre côté soit sur le même principe?
Là c'est plus direct, l'autre côté qui vaut 119×5/11=54,09m offre une suite numérique très très proche de la longitude à cet endroit: 5,41°Est.
Ce plan modulaire carré inscrit au château définit donc la cartographie du lieu (Latitude et Longitude) .
Mais une chose étrange, qui confirme ce que nous venons de voir, vient du latin.
En effet, en latin :
Longueur et Longitude → longitūdō Prononcer "longui-tou-do"
Largeur et Latitude → lātitūdō Prononcer "lati-tou-do"
Les mots représentant les dimensions à courte échelle sont les mêmes que ceux désignant les dimensions à l'échelle terrestre.


2. Dimensions caractéristiques des différents éléments d'architecture
Au chapitre métrologie, vous retrouverez les méthodes de mesures.
Voici les dimensions des éléments dont nous allons nous servir pour établir l'équation générale de conception du château des Allymes:
Une configuration en cartographie locale et absolue faisant intervenir la suite mérique 6542 en m ou degré minute d'angle;
Une latitude de 6545km nord du château des Allymes en projection plane;
Une tour carrée de côté racine de 125 en mètres;
Une tour ronde de diamètre 12,1m;
Un plan modulaire carré 5×11 de grand coté appelé largeur ou latitude 119 mètres.
3. Le "tissu" du plan modulaire carré
Par un calcul simple on s'aperçoit que chaque module carré du plan modulaire carré 5×11 possède une superficie de 117m².
On voit que le nombre 117 représente une superficie dans le "tissu" du plan modulaire carré. On s'aperçoit que le 117 revient aussi comme distance JK=117m.
Or, le point K n'appartient pas au plan modulaire carré. Mais on peut voir qu'il est lié par le nombre.
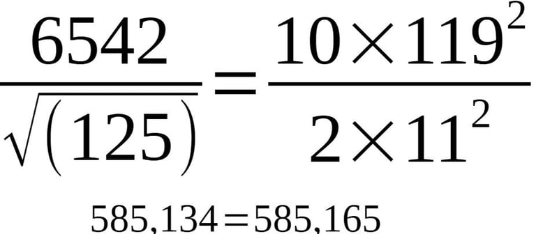
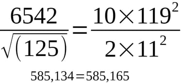
Mais ce que l'on a pu découvrir, c'est que tous les nombres précédents sont liés. Et si je divise 6542 qui est générateur de l'espace par le côté de la tour carré, nous avons avec précision le 117 qui revient:
Mais alors, si le tissu du plan modulaire carré peut être mis avec grande précision en fonction de la tour carrée, de la configuration entre tour de Saint-Denis et Château des Allymes et de la cartographie absolue....ne peut on pas écrire l'ensemble de l'architecture et de la cartographie du site en une équation?
4. Equation générale de l'architecture et de la géolocalisation du château des Allymes
On pourrait dire qu'il nous manque la petite tour ronde au nord, mais aussi surtout l'enceinte principale de 36m en moyenne. Existerait-il une relation permettant de déployer le 36 dans l'équation?
Essayons de voir si le 36 est lié aux autres nombres. Tout particulièrement au plan modulaire carré. Ainsi, on aurait les 2 enceintes liées!
Et en effet, en divisant un 36 par 119×5×11......... je vous laisse le faire.............
Et oui, On retombe une nouvelle fois sur 5×11.
Ceci s'apparente au début d'une suite géométrique de raison 55.
On peut maintenant exprimer le 119 en fonction du 36 pour injecter le 36 dans l'équation générale et arranger l'ensemble pour faire ressortir les éléments d'architecture et de cartographie:
Nous touchons au but.
Néanmoins quelques précautions s'imposent.
Cette équation est l'équation que nous formulons ici, c'est la notre. Ce n'est pas celle des gens du Moyen-âge. Rien ne dit que cette équation est celle utilisée au XIVe siècle.
Mais en revanche, notre équation a pour origine un système de pensée qui est bien médiéval lui.
On part du nombre qui structure l'univers au sens des Pythagoriciens.
Celui-ci se retrouve générateur de l'espace en degré, minute seconde et mètres sur le site d'Ambérieu-en-Bugey.
Par ailleurs, il nous manque le diamètre de la tour ronde au nord.
5. Peut-on écrire cette équation dans une autre unité que le mètre
Disons le tout de suite, oui on peut écrire une telle équation avec une autre unité de mesure. Mais dès lors, il faudra tirer un trait sur la génération même de l'espace par le nombre.
Or, nous sommes parti du nombre 6542. Ce nombre par lui-même interdit toute possibilité du changement d'unité sur les distances. Car 6542 est écrit en mètres ET en degrés minutes d'angle. Les deux à la fois.
Cette équation est donc écrite dans le nombre, qui est écrit en mètre ET en degré minutes secondes.
L'équation n'est pas homogène en unité puisque d'un côté, nous avons un rapport (à gauche) et à droite nous avons des mètres.
Mais l'équation est homogène en nombre. Les deux quantités sont égales de chaque côté de l'équation et vaut 585,14.
6. Mais alors pourquoi 6542?
Récapitulons:
6542 nous empêche d'écrire autrement qu'en mètre à cause de son utilisation dans deux bases différentes et deux unités différentes.
6542 véritable positionnement cartographique du château des Allymes par rapport à la tour de Saint-Denis sur ses 3 composantes principales topographiques.
6542 comme latitude en projection plane conique conforme de Lambert, qui se trouve exactement à 6542/3 de la distance Allymes Saint- Denis qui vaut elle aussi 6542. C'est donc le centre ville d'Ambérieu qui est marqué avec ce nombre.
Il se trouve enfin, que le centre ville n'est pas à 6542 km en plan en projection de Lambert. Il est à 6542,6km.
Et ceci n'est pas un détail. C'est l'équation devient ENCORE plus précise avec ce nombre.......
Le centre ville d'Ambérieu-en-Bugey a donc été marqué, précisément.
8. Conclusion
Rien ne remplacera ce visuel comme conclusion. Une équation où le mètre et le degré minute est utilisé comme représentant du nombre en cartographie et architecture. Une véritable équation de conception du château des Allymes. Une véritable équation GPS.
